Avtomobilska industrija vstopa v novo fazo razvoja, kjer napredni asistenčni sistemi prehajajo iz podpore vozniku v delno avtonomno vožnjo.
Z letom 2026 se v vozila vse pogosteje vgrajujejo Lidar senzorji, ki omogočajo višje stopnje avtonomije, kot sta Level 3 in Level 4. Ta tehnološki preskok pa prinaša tudi bistveno višje zahteve na področju kalibracije in kakovosti avtomobilskih stekel.
Pri Carglass® Slovenija se zavedamo, da prihodnost varnosti ni več odvisna le od mehanske natančnosti, temveč tudi od fizikalnih lastnosti materialov in pravilne interpretacije signalov.
Kako Lidar spreminja zaznavanje okolice?
Za razliko od kamer, ki zaznavajo svetlobo v vidnem spektru, Lidar uporablja laserske pulze za ustvarjanje natančnega tridimenzionalnega modela okolice. Senzor oddaja svetlobne pulze, ki se odbijejo od objektov in vrnejo nazaj do senzorja. Na podlagi časa, ki ga signal potrebuje za povratno pot, sistem izračuna razdaljo.
Ta pristop omogoča bistveno večjo natančnost in zanesljivost, še posebej v slabih svetlobnih pogojih. Lidar lahko zazna objekte, ki jih kamera morda spregleda, in zagotavlja boljšo prostorsko orientacijo vozila.

Fizikalni model merjenja razdalje
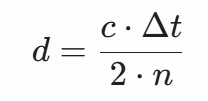
Delovanje Lidar sistema temelji na zelo natančnem fizikalnem modelu. Razdalja do objekta se izračuna na podlagi časa povratnega signala po naslednji enačbi:

Kjer d predstavlja razdaljo, c hitrost svetlobe, Δt čas med oddajo in prejemom signala, n pa lomni količnik materiala, skozi katerega signal potuje.
Ta enačba razkriva ključni vidik delovanja Lidarja. Meritev ni odvisna le od časa, temveč tudi od lastnosti materiala. Če se lomni količnik spremeni, se spremeni tudi izračunana razdalja.
Primerjava med kamero in Lidarjem
| Funkcija | Kamera (Standard ADAS) | Lidar (Napredni ADAS) |
| Tehnologija | Vizualna interpretacija slik. | Lasersko pulzno skeniranje. |
| Doseg | Omejen v slabih svetlobnih pogojih. | Do 250m v popolni temi. |
| Potreba po kalibraciji | Visoka (statična/dinamična). | Ekstremna (notranja/zunanja). |
| Vpliv umazanije | Povzroči slepoto sistema. | Visoka odpornost, vendar občutljivost na praske. |
Vloga vetrobranskega stekla pri Lidarju
V mnogih vozilih Lidar senzorji delujejo skozi zaščitne površine ali so integrirani v območja, kjer signal prehaja skozi steklo ali optične materiale. To pomeni, da vetrobransko steklo ali zaščitni elementi neposredno vplivajo na delovanje sistema.
Če steklo ni popolnoma homogeno, lahko pride do sprememb v lomnem količniku. Nečistoče, mikroskopske nepravilnosti ali nepravilna struktura materiala lahko povzročijo refrakcijo svetlobnega žarka. To pomeni, da se signal ne vrne po pričakovani poti.
Rezultat je napačna interpretacija razdalje.
Zakaj je brezhibnost stekla ključna?
Pri klasičnih sistemih, kot so kamere, manjše optične nepravilnosti povzročajo predvsem zmanjšano kakovost slike. Pri Lidarju pa lahko takšne nepravilnosti vplivajo neposredno na izračun razdalje.
To pomeni, da je kakovost stekla bistveno bolj kritična. Material mora biti optično čist, homogen in brez notranjih napetosti, ki bi lahko vplivale na pot svetlobnega signala.
Vsaka odstopanja lahko povzročijo sistematične napake, ki se prenašajo v delovanje varnostnih sistemov.

Pomen pravilne kalibracije
Kalibracija v dobi Lidarja postaja še bolj kompleksna. Ločimo dve ključni vrsti kalibracije:
- Intrinzična kalibracija, ki se nanaša na notranje lastnosti senzorja, kot so optične karakteristike in parametri merjenja.
- Ekstrinzična kalibracija, ki določa položaj in orientacijo senzorja glede na vozilo.
Če katera od teh kalibracij ni izvedena pravilno, lahko pride do odstopanj med zaznanim in dejanskim položajem objektov. Pri Lidarju so ta odstopanja lahko zelo majhna, vendar imajo lahko velik vpliv na varnost.
Napake v kalibraciji Lidar sistema lahko vodijo do napačne ocene razdalje. Vozilo lahko zazna objekt bližje ali dlje, kot je v resnici. To neposredno vpliva na delovanje sistemov, kot so samodejno zaviranje, zaznavanje ovir in prilagodljiva vožnja. V kritičnih situacijah lahko že majhna napaka pomeni razliko med pravočasno reakcijo in nevarnim zamikom.
Ker Lidar deluje na principu izjemno natančnih meritev, so tudi tolerance bistveno manjše kot pri klasičnih sistemih.
Carglass® Slovenija – edini certificirani IMI center varnosti in kakovosti v Sloveniji
V dobi Lidarja varnost ni več odvisna le od robustnosti vozila, temveč od natančnosti meritev. Fizikalni modeli, kot je izračun razdalje na podlagi časa povratnega signala, zahtevajo popolno usklajenost vseh komponent.
Pri Carglass® Slovenija verjamemo, da je razumevanje teh principov ključno za kakovostno izvedbo storitev. Z znanjem, opremo in doslednim upoštevanjem standardov zagotavljamo, da vozila ohranjajo svojo funkcionalnost in varnost tudi v dobi najnaprednejših tehnologij.
Ker v prihodnosti vsaka milisekunda in vsak milimeter štejeta.